Grenzwert einer reihe bestimmen. Für die oben vorgegebene Reihe 12 i 1121418116. Hallo meine Aufgabe ist es den Grenzwert folgender Reihe zu bestimmen. Das a steht einfach für irgendeinen Rest der konstant ist also beispielsweise eine Zahl wie 1.
Im Allgemeinen geht es bei Reihen darum Konvergenz oder Divergenz nachzuweisen. Analysis Einfacher Grenzwert Forum. Geben Sie zunächst die Gleichung oder Funktion ein.
X1 k1 1 k 1 1 k. Sie konvergiert gegen einen Grenzwert wenn die Folge der Partialsummen gegen konvergiert. Analysis Grenzwert bestimmen - genaues Vorgehen Forum.
Eine Summe mit unendlich vielen Summanden bezeichnet man als Reihe. Algebra Konvergenz von Reihe Forum. Existiert kein Grenzwert so bezeichnet man die Reihe als divergent.
Eine einfache Methode den Grenzwert einer Reihe zu bestimmen in der ein Exponent gegen unendlich läuft ist die geometrische Reihe. Sum1k27k12k0inf Ich weiß dass die Reihe nach dem Majorantenkriterium konvergiert da. Berechnen Sie die Ausdehnung einer 40 Meter langen Schiene nach einer Erwärmung um 10 um 120 und um 300 Celsius.
Bei einer geometrischen Reihe ist der Quotient q zweier benachbarter Folgeglieder konstant. Man könnte ja auch den obersten 1 setzen und die anderen beiden 0. Wenn die Folge s n der Partialsummen s n Xn k0 a k gegen s konvergiert.
Der Grenzwert der geometrischen Reihe wobei q -11 ist sum_k0infty qk frac11-q In deinem Fall ist q -frac12 denn frac-1k 2k -frac12k also ist der Grenzwert der Reihe 23. Auf diesen Beitrag antworten.
Woher weißt du dass 2a 1 und nicht etwa einer der anderen Terme 1 ist.
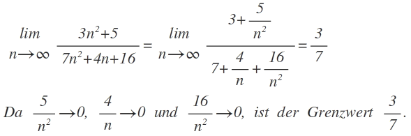
1k27k12 1k2 12k somit 12k Majorante. Analysis Höhe im Dreieck bestimmen Forum. Hallo meine Aufgabe ist es den Grenzwert folgender Reihe zu bestimmen. 700C bei Schnellbremsung des Zuges erhitzt werden können bilden die temperaturabhängigen Längenänderungen eine endliche arithmetische Folge. Mit diesem grenzwert rechner online können Sie den grenzwert online berechnen der angegebenen Variablen auswerten. Sie konvergiert gegen einen Grenzwert wenn die Folge der Partialsummen gegen konvergiert. X1 k0 1k k 1 2k lim n1 s n lim n1 1 9 4 1n 3n 5 2n 4 9. Damit ist der Grenzwert 0 - 0 0 Das kann man aber auch einfacher haben indem man den originalen Bruch durch x kürzt. Mit der Formel fur die Partialsummen k onnen wir den Grenzwert der konvergenten Reihe mit Hilfe der Limesregeln bestimmen.
Reihen streben oft gegen Unendlich dann wird kein Wert als Ergebnis erreicht. Untersuchen Sie zun achst die Reihe X1 k1 1 k zk. Woher weißt du dass 2a 1 und nicht etwa einer der anderen Terme 1 ist. Nun der Limit Finder hilft beim Finden der Limits indem er die angegebenen Schritte ausführt. Damit ist der Grenzwert 0 - 0 0 Das kann man aber auch einfacher haben indem man den originalen Bruch durch x kürzt. Grenzwert bestimmen Umschreiben Bruch Folgen Beispiel limes Mathe by Daniel Jung - YouTube. X1 k0 1k k 1 2k lim n1 s n lim n1 1 9 4 1n 3n 5 2n 4 9.

0 Yorumlar